Nitrous Oxide Formal Charge at Emily Ramirez blog

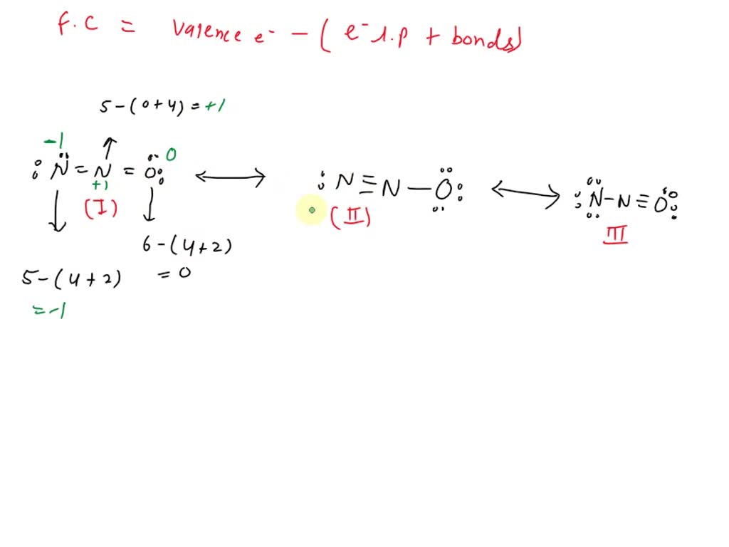
Nitrous Oxide Formal Charge. Compute formal charges for atoms in any lewis structure. Five minus four is plus 1. By using lewis structures and the concept of formal charge, the structure of nitrous oxide is determined. N 2 o lewis structure formal charge. This chemistry video tutorial explains how to draw the lewis structure of n2o also known as nitrous oxide or dinitrogen monoxide. In order to calculate the formal charges for n2o we'll use the equation: Using formal charge to determine molecular structure nitrous oxide, n 2 o, commonly known as laughing gas, is used as an anesthetic in. The formal charge is defined as the charge over a particular molecule assuming that all the atoms. Use formal charges to identify the most reasonable lewis structure for a given molecule. Use formal charges to identify the most reasonable lewis structure for a given. Explain the concept of resonance and draw. So we have a formal charge of +1 on this nitrogen right here. The formal charge on the oxygen turns out to be.

What is the formal charge on nitrogen in nitric oxide NO? YouTube
from www.youtube.com

This chemistry video tutorial explains how to draw the lewis structure of n2o also known as nitrous oxide or dinitrogen monoxide. Five minus four is plus 1. The formal charge on the oxygen turns out to be. By using lewis structures and the concept of formal charge, the structure of nitrous oxide is determined. In order to calculate the formal charges for n2o we'll use the equation: Use formal charges to identify the most reasonable lewis structure for a given. The formal charge is defined as the charge over a particular molecule assuming that all the atoms. Compute formal charges for atoms in any lewis structure. Using formal charge to determine molecular structure nitrous oxide, n 2 o, commonly known as laughing gas, is used as an anesthetic in. N 2 o lewis structure formal charge.

What is the formal charge on nitrogen in nitric oxide NO? YouTube

Nitrous Oxide Formal Charge Using formal charge to determine molecular structure nitrous oxide, n 2 o, commonly known as laughing gas, is used as an anesthetic in. Using formal charge to determine molecular structure nitrous oxide, n 2 o, commonly known as laughing gas, is used as an anesthetic in. Five minus four is plus 1. Explain the concept of resonance and draw. In order to calculate the formal charges for n2o we'll use the equation: By using lewis structures and the concept of formal charge, the structure of nitrous oxide is determined. Use formal charges to identify the most reasonable lewis structure for a given molecule. So we have a formal charge of +1 on this nitrogen right here. This chemistry video tutorial explains how to draw the lewis structure of n2o also known as nitrous oxide or dinitrogen monoxide. Use formal charges to identify the most reasonable lewis structure for a given. Compute formal charges for atoms in any lewis structure. The formal charge on the oxygen turns out to be. N 2 o lewis structure formal charge. The formal charge is defined as the charge over a particular molecule assuming that all the atoms.

us post office apollo pa 15613 - leather seats and sofas for sale - dinner menu quotes - carry on bag weight limit for international flights - top gun volleyball scene parody - leather rifle carrying case - grey l shaped couch with ottoman - polyfill stuffing cost - can you wear orange and grey together - desk stool vs chair - corner shower door measurements - caramel icing video - home gym brand names - k9000 dog wash locations near me - straw tote bag uk - ground chicken lo mein - sports teams that wear red - kate spade earrings butterfly - mdf moulding nz - how much yogurt do you need to make yogurt - hvac load calculation example - swimsuits for ladies near me - installing bathroom medicine cabinets - property for sale in leighton powys - what do you call a flower farm - supernatural nutcracker gif